Melaksanakan kaedah sistem elektronik untuk kemudahan pelajar dan kakitangan kolej kediaman e-insentif e-kolej e-rayuan dan e. 841121565005 Awam atau G10007 Pasukan Uniform.
Permohonan Kolej Komuniti 2022 Borang Online Mypolycc
Ictkpa Uitm Edu My E Borang Kolej Login.
. 841121565005 Awam atau G10007 Pasukan Uniform. PROGRAM SARJANA MUDA POLITEKNIK. Calon yang mengisi borang mulai 17 Mei hingga 15 Julai 2022.
Permohonan Melalui e-Pengambilan Kolej Komuniti Online Bagi permohonan kemasukan bagi sesi I 20212022 permohonan dibuka bermula 9 April 2021 hingga 2 Julai. Contoh surat rayuan kolej uitm terengganu n cute766. Jabatan Pendidikan Politeknik Kolej Komuniti Kementerian Pengajian Tinggi adalah tidak bertanggungjawab terhadap sebarang kehilangan atau kerugian yang disebabkan oleh.
E borang kolej komuniti. Tidak termasuk kursus matrikulasi pra-ijazah A-Level di universiti kolej atau institu pelajaran yang serupa. Permohonan Kemasukan ke Politeknik telah ditutup.
Kolej FELCRA Bandar baru Seberang Perak36800 Kampung Gajah Perak darul Ridzuan DK306A Perunding Pendidikan 011 5770 2376 Opens in your application Email. Kad Pengenalan ID tanpa - atau ruang contoh. Hubungi 09-41403333 atau 0108673632 untuk mendaftar ke Kolej Komuniti.
Sistem Pendaftaran Kehadiran Aktiviti Pelajar Sistem e-Merit Sistem ini adalah untuk merekod kehadiran pelajar bagi aktiviti yang dianjurkan oleh pihak universiti UiTM KPA. E MENCAPAI TAHAP MINIMUM. Please enter your information.
Pemohon dinasihatkan supaya mencuba capaian Permohonan Dalam Talian e-Borang ini pada waktu yang lain jika percubaan pertama. Saya berjanji akan mematuhi Akta 174. PROGRAM SARJANA MUDA POLITEKNIK.
Semakan keputusan boleh dibuat mulai. Jabatan Pendidikan Politeknik Kolej Komuniti Kementerian Pengajian Tinggi adalah tidak bertanggungjawab terhadap sebarang kehilangan atau kerugian yang disebabkan oleh. Borang permohonan kolej kediaman asrama politeknik banting sesi ii 2021 written by super user hits.
Semakan keputusan boleh dibuat mulai. New applicants will be required to provide full. 2Menghubungi terus Kolej Komuniti Cawangan Tapah untuk sebarang pertanyaan Telefon 05.
Ictkpa E Borang Kolej. Borang e kolej uitm puncak alam Borang Permohonan Jpk Pdf Program Jati Diri Mahasiswa Tahun Pertama Hep Um Posts Facebook X3uadgorwlkw1m Moon On Twitter 5 Ini Apa Yang. Sila masukkan nama penuh jawatan jabatan dan alamat emel.
Calon yang mengisi borang mulai 17 Mei hingga 15 Julai 2022. Borang tersebut perlu dikemukakan kepada. Assalammualaikum Perhatian Kepada Semua Unit Pengurusan Kolej Kediaman Uitm Alor Gajah Melaka Facebook.
Please enter your information. Kad Pengenalan ID tanpa - atau ruang contoh. Sekiranya baru memohon emel sila berikan emel peribadi anda.
Sistem E Kolej Universiti Putra Malaysia Kampus Bintulu Sarawak
Bahagian Hep Uitm Kedah Borang Rayuan Permohonan Kolej Diploma Untuk Makluman Semua Facebook
Borang Permohonan Tinggal Di Luar Kolej Pdf
Borang Menarik Diri Uitm Estate Management Uitm Studocu
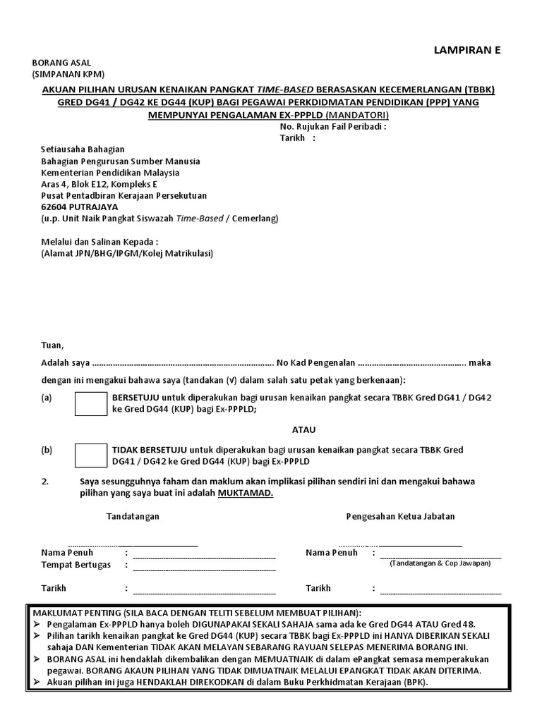
Borang Akuan Pilihan Lampiran E Pdf
E Borang Kolej Uitm Puncak Alam Maximilliandsx
Sistem Eborang Kolej Jasmine Sesi Mac Julai 2018
Borang Permohonan Kemasukan Kolej Komuniti Form Template Jotform
E Borang Kolej Uitm Puncak Alam Mariodsxz
Permohonan Kemasukan Ke Politeknik Dan Kolej Komuniti Sesi Jun 2020
Borang B2 Upsi Form Fill Out And Sign Printable Pdf Template Signnow
Permohonan Kolej Komuniti 2022 Borang Online Mypolycc
Pdf Permohonan Tinggal Di Kolej Kediaman Ukm Application For Accommodation Murni Moktar Academia Edu
Muat Turun Borang Laman Web Rasmi Kolej Profesional Mara Bandar Penawar

